20 years in organic medicinal mushrooms with OEM/ODM supplements, cGMP-certified facilities, and trusted by partners in over 40 countries.
Reishi is a potent superfood and tonic herb for the immune system, containing high concentrations of triterpenes and polysaccharides, the most important compounds for immune support. It also boosts energy and alleviates mental and physical fatigue caused by stress.
At Herbal Treasure, we cultivate Reishi throuoh forest-floorensures that Reishi grows under optimal conditionenriched by natural sunlioht, humidity, and fresh airoactive compounds, maximizingits therapeutic efficacy.
Activates immune cells such as macrophages and T-cells, helping the body resist infections and diseases.
Reduces chronic fatigue, neutralizes free radicals, slows cellular aging, and boosts overall vitality.
Regulates blood pressure, lowers cholesterol levels, and prevents atherosclerosis and cardiovascular diseases.
Enhances liver detoxification processes, repairs damage caused by alcohol and medications, and helps the body eliminate toxins.
Effectively alleviates anxiety and insomnia, promotes relaxation, and enhances deep sleep quality.
Strengthens immune function, mitigates the side effects of chemotherapy and radiotherapy, and aids in recovery.
Versatile Formulations to Match Your Product Needs
We offer Reishi extract in a variety of formats to suit different delivery systems and applications:
At Herbal Treasure, our name reflects our mission: to reveal the boundless potential of medicinal mushrooms as a natural treasure, enriching lives through their remarkable benefits to health and wellness. With over 20 years of expertise, we are committed to excellence as a premier OEM and ODM manufacturer, focusing exclusively on the research, development, and application of medicinal mushrooms. Serving B2B clients globally, we offer a comprehensive, turn-key solution for the entire production cycle—from custom formulation and packaging design to global logistics—helping brands thrive in the competitive health and wellness industry.
We meet international standards with cGMP, FSSC, Kosher, Halal, Non-GMO, USDA Organic, and EU Organic certifications. With deep regulatory expertise, we ensure that all products comply with FDA, Canadian, and EU regulations, enabling seamless international distribution.








We provide free samples to test product quality, as well as complimentary packaging and label design services. Our turn-key approach supports your brand’s market readiness with a cohesive, professional presentation.
Every batch undergoes rigorous quality control, with 500+ tests for pesticide residues, heavy metals, and microbial contaminants. Our facility is equipped with liquid chromatography, gas chromatography, atomic absorption spectrometers, stability chambers, and UV spectrophotometers to ensure consistent product quality and safety.
Using Jet Flow Cell Wall Breaking Technology, we enhance the bioavailability of medicinal mushroom extracts, preserving and boosting the potency of active compounds. This technique maximizes the therapeutic efficacy of our products, providing high value to end-users.
We employ wild-simulated cultivation methods in natural forest environments, allowing mushrooms to grow under optimal conditions with minimal environmental impact. This process promotes high bioactivity and aligns with our commitment to sustainability and biodiversity.
Our overseas warehouses in Canada and the United States enable fast and reliable distribution to North American clients, reducing delivery times and customs delays.
With a strong track record and consistent customer satisfaction, Herbal Treasure is trusted by more than 1,000 clients across 40+ countries. Our clients rely on our expertise, quality, and service to support their business success.
We stand behind every product we manufacture. In the rare event of a quality issue, we provide immediate replacements or corrective solutions, ensuring a seamless and risk-free experience for our clients.
For e-commerce brands, we offer small-batch customization, free quality testing, free sample production, and design services. Our social media support team can help create product videos, images, and advertising materials, providing the tools you need for strong online sales and brand presence.
Ensuring High-Quality and High-Activity Reishi. We operate over 500 acres of organic cultivation base where we employ forest-floor simulated wild cultivation, closely replicating the natural environment to optimize Reishi’s growth conditions:
Heavy Metal Testing: Strict control of lead (Pb), cadmium (Cd), mercury (Hg), and arsenic (As) levels within internationally accepted limits. Pesticide Residue Testing: Comprehensive monitoring of organophosphates, carbendazim, glyphosate, and more than 500 pesticide residues in the substrates, soil, and surrounding environment to ensure 100% pesticide-free cultivation.
Reishi is grown on oak and maple logs, which are rich in natural nutrients, promoting the development of bioactive compounds such as polysaccharides and triterpenes.
Temperature is maintained between 20-28°C, with humidity levels controlled at 85-95%, creating optimal conditions for Reishi’s robust growth and high accumulation of polysaccharides and triterpenes.
Using the forest's diffused sunlight and ensuring proper air circulation prevents premature maturation and mold growth caused by excessive heat or moisture, safeguarding the integrity and potency of the Reishi.
Our Reishi raw materials are cultivated through a precise blend of science and nature, ensuring maximum bioactivity and efficacy.
Choose Herbal Treasure’s Reishi extracts to deliver exceptional quality and cutting-edge innovation to your customers, helping your business stand out in the competitive health market.
Prevents heat degradation, ensuring that all active compounds retain their full potency.
Breaks down tough cell walls to release active ingredients, maximizing extraction efficiency and bioavailability.
After extraction, bioactive compounds undergo membrane filtration and concentration to remove impurities while retaining beneficial elements, resulting in a highly pure extract.
Guarantees consistent quality and potency across every batch, meeting international standards.
Our Reishi raw materials are cultivated through a precise blend of science and nature, ensuring maximum bioactivity and efficacy. At Herbal Treasure, we provide high-performance, pure, and internationally certified Reishi products. Designed to meet the needs of B2B buyers, OEMs, and wholesalers, our solutions offer consistent quality, reliable supply chains, and full customization options. Partner with us for products that meet the highest industry standards and help you succeed in the global market.
Ganoderma lucidum contains over 300 identified lanostane-type triterpenoids, including ganoderic acids A, B, S, and various lucidenic acids—each with distinct molecular skeletons and pharmacological profiles. These oxidized tetracyclic compounds demonstrate immunomodulatory, anticancer, anti-HIV, antioxidant, hepatoprotective, and anti-hypertensive activities.
Figure (Left image): Typical triterpenoid backbone aligned with numbered carbon positions, representing the general structure of ganoderic acids ResearchGate.
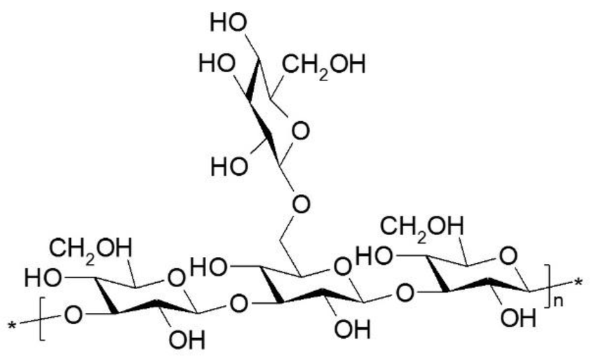
One of the key active polysaccharides, β‑D‑glucan from Reishi, comprises a (1→3)-linked glucose backbone with (1→6)-linked side chains. This configuration imparts potent immunomodulatory and anticancer effects, particularly via stimulation of macrophages and NK cells PMC.
Figure (Up image): Structural depiction of branched β‑D‑glucan chains and their bioactivities.
Triterpenes (Ganoderic / Lucidenic Acids): First isolated in the 1980s, Ganoderma triterpenoids like Ganoderic Acid A (C₃₀H₄₄O₇, M≈516 Da) and Ganodermanontriol (C₃₀H₄₈O₄, M≈ 476 Da) exhibit strong anti-tumor, antiviral, antidepressant, and cholesterol-lowering effects in vitro and animal models.
β‑D‑Glucans: Structure–bioactivity studies confirm that the (1→3)/(1→6)-branched glucan structure is critical for immunological action, including activation of T-cells and NK cells and modulation of inflammatory signaling pathways
| Benefit | Key Findings |
|---|---|
| Immune enhancement | Increases T-cell & NK-cell counts, boosts NK activity and IgA in healthy adults |
| Anti-inflammatory action | Promotes anti-inflammatory T-cell profiles and cytokine gene expression |
| Adjuvant anticancer potential | Polysaccharides help suppress tumors and support immunity; may improve outcomes when combined with standard cancer treatment |
Evaluation of Immune Modulation by β‑1,3/1,6 D‑Glucan Derived from G. lucidum in Healthy Adults (PubMed/PMC) – RCT on NK/T‑cell and IgA response pubmed.ncbi.nlm.nih.gov+14mdpi.com +14pubmed.ncbi.nlm.nih.gov+14
Reishi Extract in Older Women: Lymphocyte Function Modulation (PubMed) – Anti‑inflammatory gene expression study pubmed.ncbi.nlm.nih.gov
GLP Anticancer Mechanisms & Clinical Adjunct Use – Preclinical and Cochrane meta-analysis reviewing GLP’s anticancer effects
Ready to bring the powerful benefits of medicinal mushrooms to your brand? Partner with Herbal Treasure to experience an unmatched level of expertise, quality, and support. From initial consultation to final delivery, we’re here to help your brand succeed.
Request a Free Sample or Consultation Today!
Fujian Herbal Treasure Bioengineering Co., Ltd